Banner image placeholder
Banner image
Site avatar
Apolinar Picado
Independent Researcher


Thin-Layer Drying Characteristics and Modelling of Instant Coffee Solution


Conference paper


Apolinar Picado, Ronald Solís, Rafael Gamero
19th International Conference on Chemical Engineering (ICCE 2017), J.A. Nelson, vol. 19(12), World Academy of Science, Engineering and Technology (WASET), Miami, USA, 2017 Dec 14, Paper No. 17US120037


Cite

Cite

APA   Click to copy
Picado, A., Solís, R., & Gamero, R. (2017). Thin-Layer Drying Characteristics and Modelling of Instant Coffee Solution. In J. A. Nelson (Ed.) (Vol. 19, pp. Paper No. 17US120037). Miami, USA: World Academy of Science, Engineering and Technology (WASET). https://doi.org/10.5281/zenodo.4515793


Chicago/Turabian   Click to copy
Picado, Apolinar, Ronald Solís, and Rafael Gamero. “Thin-Layer Drying Characteristics and Modelling of Instant Coffee Solution.” In , edited by J.A. Nelson, 19:Paper No. 17US120037. 19th International Conference on Chemical Engineering (ICCE 2017). Miami, USA: World Academy of Science, Engineering and Technology (WASET), 2017.


MLA   Click to copy
Picado, Apolinar, et al. Thin-Layer Drying Characteristics and Modelling of Instant Coffee Solution. Edited by J.A. Nelson, vol. 19, no. 12, World Academy of Science, Engineering and Technology (WASET), 2017, pp. Paper No. 17US120037, doi:10.5281/zenodo.4515793.


BibTeX   Click to copy

@inproceedings{apolinar2017a,
  title = {Thin-Layer Drying Characteristics and Modelling of Instant Coffee Solution},
  year = {2017},
  month = dec,
  day = {14},
  address = {Miami, USA},
  issue = {12},
  pages = {Paper No. 17US120037},
  publisher = {World Academy of Science, Engineering and Technology (WASET)},
  series = {19th International Conference on Chemical Engineering (ICCE 2017)},
  volume = {19},
  doi = {10.5281/zenodo.4515793},
  author = {Picado, Apolinar and Solís, Ronald and Gamero, Rafael},
  editor = {Nelson, J.A.},
  month_numeric = {12}
}

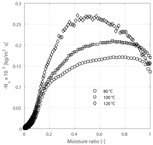
The thin-layer drying characteristics of instant coffee solution were investigated in a laboratory tunnel dryer. Drying experiments were carried out at three temperatures (80, 100, and 120 °C) and an air velocity of 1.2 m/s. Drying experimental data obtained are fitted to six (6) thin-layer drying models using the non-linear least squares regression analysis. The acceptability of the thin-layer drying model has been based on a value of the correlation coefficient that should be close to one, and low values for root mean square error (RMSE) and chi-square (x²). According to this evaluation, the most suitable model for describing the drying process of thin-layer instant coffee solution is the Page model. Further, the effective moisture diffusivity and the activation energy were computed employing the drying experimental data. The effective moisture diffusivity values varied from 1.6133 × 10⁻⁹ to 1.6224 × 10⁻⁹ m²/s over the temperature range studied and the activation energy was estimated to be 162.62 J/mol. 

Share

Translate to